Πανελλαδικές 2025: Πού θα ανέβουν, πού θα πέσουν οι Βάσεις – Οι τελεuταίες εκτιμήσεις

Πανελλαδικές 2025: Πού θα ανέβουν, πού θα πέσουν οι Βάσεις - Οι τελεuταίες εκτιμήσεις

Πανελλαδικές 2025: Πού θα ανέβουν, πού θα πέσουν οι Βάσεις - Οι τελεuταίες εκτιμήσεις

Πού θα ανέβουν και πού θα πέσουν οι βάσεις – Ανεπηρέααστες από τις αυξομειώσεις οι υψηλόβαθμες σχολές – Δείτε αναλυτικά

Χωρίς σημαντικές μεταβολές αναμένονται οι βάσεις για τις περισσότερες σχολές, οι οποίες θα ανακοινωθούν την Παρασκευή 25 Ιουλίου, όπως προανήγγειλε η υπουργός Παιδείας, Σοφία Ζαχαράκη.

Συνοπτικά, η τάση των βάσεων εκτιμάται πως θα είναι πτωτική για το 1ο (Ανθρωπιστικών Σπουδών) και 3ο (Σπουδών Υγείας) Πεδίο. Μικρή άνοδος προβλέπεται για το 4ο (Σπουδών Οικονομίας και Πληροφορικής) και αυξομειώσεις στο 2ο Πεδίο (Θετικών Σπουδών).

Αν υπάρχει κάτι, στο οποίο συγκλίνουν οι εκτιμήσεις για όλα τα επιστημονικά πεδία, είναι πως οι υψηλόβαθμες σχολές θα επηρεαστούν λιγότερο από τις αυξομειώσεις των βάσεων σε αντίθεση με τις μεσαίες και χαμηλόβαθμες σχολές, όπου αναμένεται να ‘χτυπήσουν’ πιο έντονα οι μεταβολές.

Να σημειωθεί ότι στην τελική διαμόρφωση των βάσεων παίζουν ρόλο όχι μόνο ο αριθμός των υποψηφίων ανά πεδίο και οι επιδόσεις στις πανελλαδικές εξετάσεις αλλά και η σειρά προτίμησης που δηλώνεται στις σχολές του μηχανογραφικού δελτίου, όπως και η διαμόρφωση των συντελεστών βαρύτητας ανά τμήμα.

Υπενθυμίζεται ότι στις φετινές Πανελλαδικές εξετάσεις συμμετείχαν συνολικά 88.637 υποψήφιοι, οι οποίοι διεκδικούν 68.788 θέσεις στα ΑΕΙ για το ακαδημαϊκό έτος 2025-2026.

Οι εκτιμήσεις ανά επιστημονικό Πεδίο

1ο Πεδίο Ανθρωπιστικών Σπουδών

Οι βάσεις στο 1ο Επιστημονικό Πεδίο Ανθρωπιστικών Σπουδών αναμένεται να κινηθούν καθοδικά έως περίπου 200 μόρια κυρίως στις υψηλόβαθμες – Νομικές, Ψυχολογίες – καθώς ήταν χειρότερες σε σχέση με το 2024 οι επιδόσεις των υποψηφίων σχεδόν σε όλα τα μαθήματα, με τη μέση επίδοση να μειώνεται από το 11,37 στο 11,22 φέτος. Οι δε αριστούχοι, ήταν συνολικά κατά 428 λιγότεροι σε όλα τα μαθήματα.

Στη Νεοελληνική Γλώσσα & Λογοτεχνία, ήταν λιγότεροι όσοι έγραψαν πάνω από 14.

Μέτριες ήταν οι επιδόσεις των υποψηφίων στα Λατινικά, σε ‘χαμηλές πτήσεις’ κινήθηκαν και τα Αρχαία με τους αριστούχους (δηλαδή όσους έγραψαν 18-20) να περιορίζονται στο 2,29% του συνόλου.

Στην Ιστορία, παρά τις αρχικές προβλέψεις, οι επιδόσεις ήταν τελικά καλύτερες, με τους υποψηφίους να γράφουν πάνω από τη βάση του 10, ωστόσο δεν θα παίξει καθοριστικό ρόλο στην τελική διαμόρφωση.

2ο Πεδίο Θετικών Σπουδών

Καθόλου ξεκάθαρη δεν φαίνεται να είναι η εικόνα για τους υποψηφίους του 2ου Πεδίου Θετικών Σπουδών, καθώς υπάρχουν αρκετές διαφοροποιήσεις μεταξύ των μαθημάτων ενώ οι αριστούχοι φέτος ήταν συνολικά 711 περισσότεροι. Ο μέσος όρος του Πεδίου είναι 12,24 και η ΕΒΕ κυμαίνεται μεταξύ 9,79 και 14,64.

Στο μάθημα της Νεοελληνικής Γλώσσας και Λογοτεχνίας, ήταν λιγότεροι όσοι έγραψαν άνω του 14.
Στη Φυσική παρατηρήθηκε άνοδος στις βαθμολογίες με τις επιδόσεις να είναι καλύτερες επάνω από τη βάση για πιο πολλούς υποψηφίους.
Στα Μαθηματικά, όπου ο μέσος όρος κινήθηκε φέτος στο 12,52 σημειώθηκε σαφής βελτίωση, γεγονός που αναμένεται να παίξει ρόλο στην άνοδο των βάσεων του συγκεκριμένου Πεδίου.
Η Χημεία, ωστόσο, έρχεται να πλήξει τη συνολική εικόνα, καθώς σημειώθηκε πτώση σε όσους έγραψαν επάνω από τη βάση.

Βάσει των προαναφερθέντων, μικρή αναμένεται να είναι η άνοδος στις υψηλόβαθμες σχολές, η οποία εκτιμάται πως δεν θα ξεπεράσει τα 200-250 μόρια κατά μέσο όρο.

3ο Πεδίο – Σπουδές Υγείας

Καθοδικά αναμένεται να κινηθούν οι βάσεις στο 3ο Πεδίο Σπουδών Υγείας, με τη Χημεία να φέρει το μεγαλύτερο βάρος της ‘ευθύνης’. Το γεγονός αυτό, εκτιμάται πως θα επηρεάσει κυρίως τις υψηλόβαθμες σχολές, δηλαδή Ιατρικές, Οδοντιατρικές, Φαρμακευτικές, όπου η πτώση μπορεί να αγγίξει τα 200 μόρια.

Στο συγκεκριμένο πεδίο, οι υποψήφιοι ήταν φέτος κατά 1000 λιγότεροι ενώ οι αριστούχοι ήταν 1004 λιγότεροι. Η μέση βαθμολογία διαμορφώνεται από το 8,66 στο 9,73, ο μέσος όρος του Πεδίου εντοπίζεται στο 11,98 και η ΕΒΕ είναι από 9,58 έως 14,38.

Στη Νεοελληνική Γλώσσα και Λογοτεχνία, λιγότεροι υποψήφιοι έγραψαν άνω του 14.

Ελαφρώς βελτιωμένη ήταν η εικόνα στη Βιολογία, όχι όμως σε βαθμό που να επηρεάσει καθοριστικά τη συνολική εικόνα.

Στη Φυσική, οι επιδόσεις ήταν καλύτερες καθώς 10% λιγότεροι ήταν οι υποψήφιοι που έπεσαν κάτω από το 10 φέτος σε σχέση με πέρσι.

4ο Πεδίο – Οικονομίας & Πληροφορικής

Άνοδος προβλέπεται για τις βάσεις του 4ου Πεδίου έως και 250 μόρια, κυρίως στις υψηλόβαθμες Οικονομικές (ΟΠΑ, ΑΣΟΕΕ) αλλά όχι στις σχολές Πληροφορικής.

Η ανατροπή ήρθε φέτος από το μάθημα της Οικονομίας, με το 30% των υποψηφίων να ξεπερνά το 18. Συνολικά, οι αριστούχοι ήταν φέτος περισσότεροι κατά 1379. Ο μέσος όρος του Πεδίου διαμορφώνεται στο 10,54 και η ΕΒΕ από 8,43 έως 12,65.

Στην Πληροφορική, λιγότεροι υποψήφιοι έγραψαν φέτος άνω του 18.

Πτωτικά κινήθηκαν οι επιδόσεις των υποψηφίων στη Νεοελληνική Γλώσσα και Λογοτεχνία, κυρίως στην κλίμακα από 12 και άνω.
Στα Μαθηματικά, σημειώθηκαν καλύτερες επιδόσεις κυρίως σε όσους έγραψαν άνω του 15.

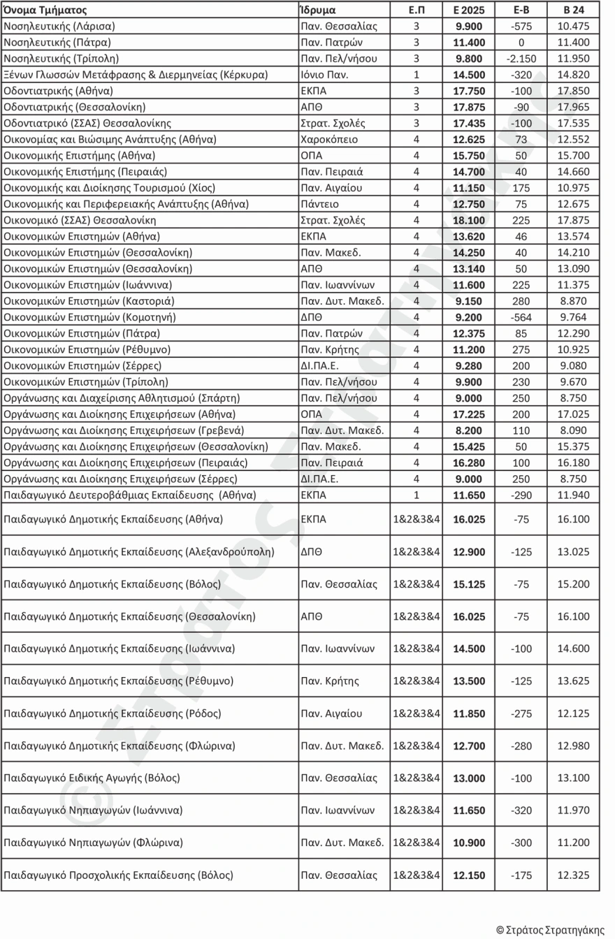
Οι πίνακες με τις εκτιμήσεις του μαθηματικού Στράτου Στρατηγάκη:

ΠΗΓΗ