Μóλις ανακοινώθnκε από Sky Express
Αναλυτικά η ενημέρωση της αεροπορικής εταιρείας
Λόγω συμμετοχής της Ένωσης Ελεγκτών Εναέριας Κυκλοφορίας Ελλάδος (ΕΕΕΚΕ) στην 24ωρη γενική απεργία που εξήγγειλε η ΑΔΕΔΥ την αύριο Τετάρτη 9 Απριλίου, από 00:01 έως 24:00 τοπική ώρα, η SKY express θα προβεί στην ακύρωση και τροποποίηση όλων των προγραμματισμένων πτήσεων της τόσο στο δίκτυο του εσωτερικού όσο και εκείνο του εξωτερικού.
Συγκεκριμένα, όλες οι προγραμματισμένες πτήσεις στις 9 Απριλίου 2025 ακυρώνονται, εκτός από τις παρακάτω οι οποίες θα πραγματοποιηθούν με τις εξής τροποποιήσεις:
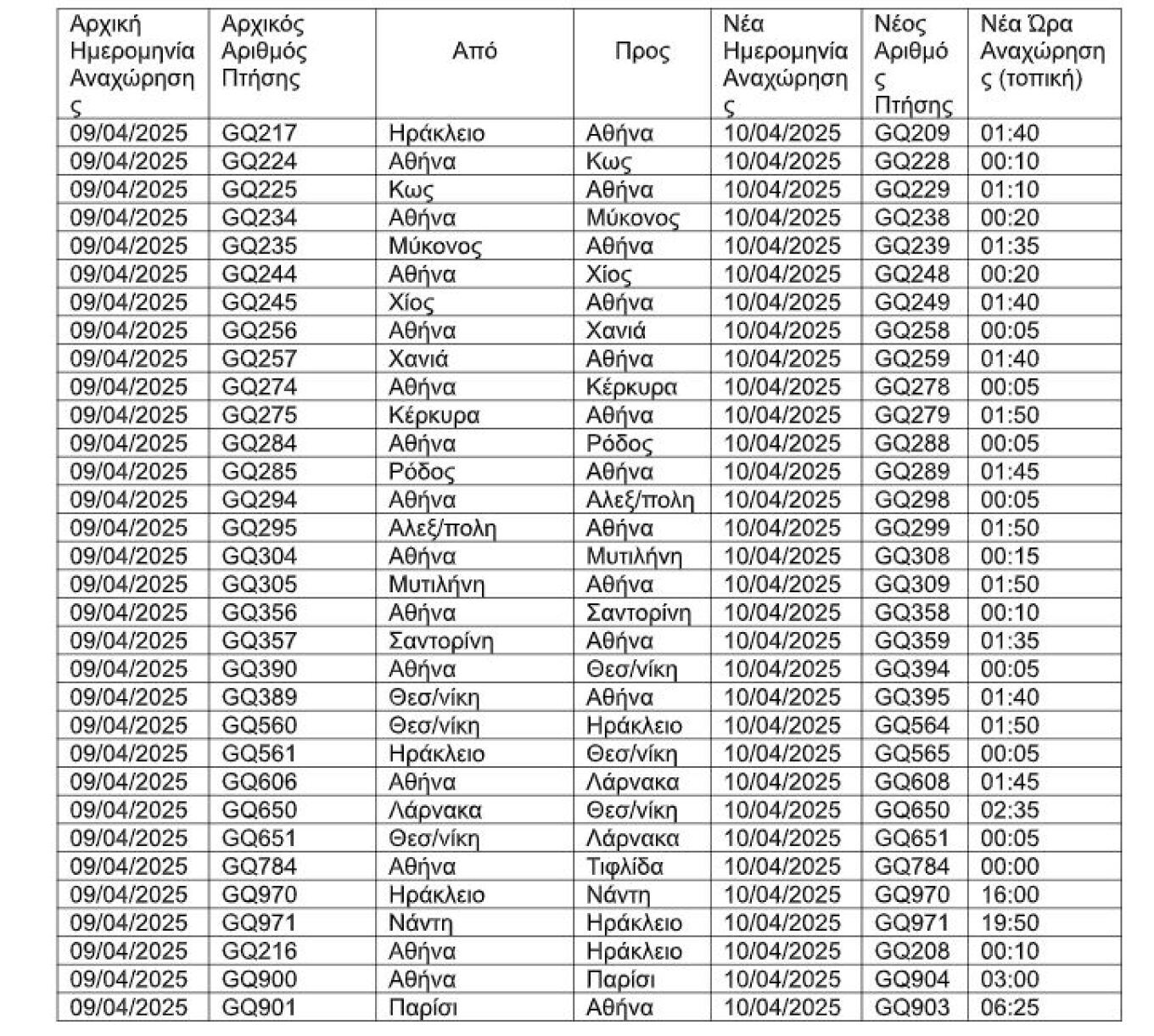
Επιπλέον, στον παρακάτω πίνακα, μπορείτε να βρείτε τις πτήσεις, που η ώρα τους τροποποιείται:
Οι επιβάτες των υπολοίπων πτήσεων έχετε τη δυνατότητα να προχωρήσετε σε μια από τις διαθέσιμες επιλογές, όπως αυτές περιγράφονται παρακάτω:
Α. Δωρεάν αλλαγή του εισιτηρίου σας με νέα ημερομηνία ταξιδιού μέχρι τις 30/11/2025.
1. Στο www.skyexpress.com επιλέγετε Η ΚΡΑΤΗΣΗ ΜΟΥ.
2. Συμπληρώνετε τον κωδικό κράτησης και το επώνυμό σας.
3. Στην εμφανιζόμενη σελίδα διαχείρισης της κράτησής σας επιλέγετε ΑΛΛΑΓΗ ΠΤΗΣΗΣ (δείτε παρακάτω):
4. Επιλέγετε την νέα επιθυμητή ημερομηνία ταξιδιού σας έως 30/11/2025.
5. Στη συνέχεια επιλέγετε την επιθυμητή ώρα πτήσης με τον ίδιο ναύλο που είχε η αρχική κράτησή σας. Προσοχή: Θα πρέπει να επιλέξετε τον ίδιο ναύλο με αυτό της αρχικής σας κράτησης ώστε να διατηρήσετε τις ίδιες υπηρεσίες. Αν δεν υπάρχει διαθεσιμότητα παρακαλούμε επιλέξτε την αμέσως επόμενη κατηγορία ναύλου.
6. Έπειτα επιλέγετε ΕΠΙΒΕΒΑΙΩΣΗ & ΑΠΟΘΗΚΕΥΣΗ ΑΛΛΑΓΩΝ.
H συγκεκριμένη αλλαγή θα πρέπει να έχει πραγματοποιηθεί έως τις 11/04/2025.
Β. Ακύρωση της κράτησής σας και έκδοση credit Voucher, που αντιστοιχεί στο ποσό του εισιτηρίου σας, με διάρκεια 12 μηνών, απαντώντας με την επιλογή «Voucher» στο flightchange@skyexpress.gr
Σε περίπτωση που η κράτησή σας έχει πραγματοποιηθεί μέσω τουριστικού γραφείου, μπορείτε να επικοινωνήστε με το αντίστοιχο σημείο εξυπηρέτησης.
Ακολούθησε το Live-Sports365 στο Google News για όλες τις τελευταίες ειδήσεις